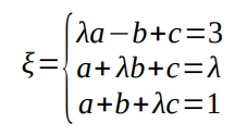
(EsPCEx 2022) Sejam λ um parâmetro real e ξ o sistema linear abaixo, com incógnitas a , b e c ,
É correto afirmar que
[A] ξ será possível e determinado se λ = 0 ou λ = 1.
[B] ξ será possível e indeterminado se, e somente se, λ = 0 ou λ = 1.
[C] ξ será impossível se λ = –1 ou λ = 0.
[D] ξ será possível e indeterminado se λ = –1 ou λ = 0.
[E] ξ será impossível se, e somente se, λ = 0 ou λ = 1.
Solução: questão de matemática da EsPCEx (Concurso de Admissão à Escola Preparatória de Cadetes do Exército - 2022). Prova aplicada no dia 18/09/2022.
Antes de resolvermos essa questão sobre discussão de sistemas lineares, vamos recordar as três classificações dos sistemas lineares.
Sistema Possível e Determinado (SPD) - "admite uma única solução" (D ≠ 0) Sistema Possível e Indeterminado (SPI) - "admite infinitas soluções" (D = Dx = Dy = Dz = 0) Sistema Impossível (SI) - "não admite solução" (D=0 e pelo menos um deles Dx≠0 ou Dy ≠0 ou Dz ≠0) --> D é o determinante da matriz formada pelos coeficientes do sistema. --> Dx é o determinante da matriz que vamos obter a partir da matriz D substituindo a coluna dos coeficientes de x pela matriz coluna dos termos independentes. --> Dy e Dz seguem o mesmo raciocínio usado para montar Dx. |
Vamos agora para a solução da questão, em primeiro lugar, vamos calcular D usando a regra de Sarrus.
D = λ ³ - λ
Agora, vamos igualar λ ³ - λ = 0
λ (λ² - 1) = 0
λ = 0 ou λ² - 1 = 0
λ² - 1 = 0
λ² = 1
λ = ± √1
λ = ± 1
Podemos concluir que quando λ assumir quaisquer valores que sejam diferentes de -1, 0, 1, então o valor de D será diferente de 0, e com isso o sistema será um SPD.
Já quando λ = -1, ou λ = 0, ou também λ = 1, então o valor de D será igual a 0, e neste caso, o sistema só poderá ser um SPI ou um SI, que é o que vamos analisar nos próximos passos.
| Quando λ = -1 o sistema linear será -a - b + c = 3 a - b + c = -1 a + b - c = 1 Vamos multiplicar os dois lados da primeira equação por -1 para vermos uma coisa interessante. -1 . ( -a - b + c) = - 1 . (3) a + b - c = -3 Agora, vamos escrever novamente o sistema, repare bem nas equações 1 e 3. a + b - c = -3 a - b + c = -1 a + b - c = 1 Visualmente, já podemos perceber que esse sistema é impossível, pois a primeira equação diz que (a + b - c) vale -3 e a terceira equação diz que o mesmo (a + b - c) vale 1. Isso é impossível. Outra forma de observar isso é somando essas duas equações. Fazendo isso, chegaríamos em 0 = 4 (impossível) Registramos então que quando λ = -1 o sistema é SI. |
| Quando λ = 0 o sistema linear será - b + c = 3 a + c = 0 a + b = 1 Somando as equações I e III, vamos obter ( a + c = 4) e repetindo a segunda equação, o sistema se reduz a a + c = 4 a + c = 0 Novamente, duas equações contraditórias, este sistema também é impossível. Registramos então que quando λ = 0 o sistema é SI. |
Finalmente, podemos concluir que
λ ≠ (-1,0,1) , temos um SPD.
λ = -1 , temos um SI.
λ = 0 , temos um SI.
λ = 1 , temos um SPI.
Alternativa correta é a letra c).
Aproveite e continue praticando com uma lista de questões anteriores da EsPCEx.
Um forte abraço e bons estudos.


